Los 4 motivos de cancelación de UUID CFDI 3.3 y CFDI 4.0 SAT-México
Detalles de los 4 motivos de obligatoria especificación en las cancelaciones de comprobantes desde el 1 de Enero de 2022. Apoyado en el Fundamento legal:...
55 artículos
Detalles de los 4 motivos de obligatoria especificación en las cancelaciones de comprobantes desde el 1 de Enero de 2022. Apoyado en el Fundamento legal:...
A fecha 1 de Enero de 2022 ha entrado en vigor el nuevo funcionamiento de cancelación de comprobantes 3.3 y CFDI4.0 del SAT, en el...
Descripción del error CP150
Introducción al Complemento de la Carta Porte
Este error de la matriz de errores del comprobante CFDI 3.3, es ambiguo y esto dificulta la identificación del error. No hay tampoco en la...
El mensaje de error CRP210 “El RFC del campo RfcEmisorCtaOrd no se encuentra en la lista de RFC.”, procedente de la matriz de errores del complemento de pagos...
Una vez se ha construido la cadena original, el siguiente paso es la generación del sello digital, este viene explicado en el Diario Oficial del...
La cadena original define los datos que deben de ser utilizados por el emisor del comprobante CFDI 3.3 para generar la firma. Esta firma garantiza...
El sello es un mecanismo de seguridad que se utiliza en la generación del comprobante CFDI 3.3 por parte del contribuyente, con este mecanismo se...
El error se debe a que la fecha no se encuentra en el formato correcto, la validación de comprobante CFDI 3.3 que realiza el validador...
El error CCE159, recogido en la matriz de errores del complemento de comercio exterior versión 1.1, se debe a que no están enviando el tipo de...
La validación para este error es Si versión del CFDI = 3.3 y el atributo Comprobante.Receptor.Rfc debe estar en la lista de RFC inscritos no...
En qué consiste el nuevo esquema de Cancelación de Comprobantes iniciado en 2018
El complemento de pagos o recepción de pagos hace uso de los siguientes catálogos: c_FormaPago, c_Impuesto, c_Moneda, c_TasaOCuota, c_TipoCadenaPago, c_TipoFactor. De este modo el SAT...
Ejemplo de llenado de facturas tipo XML CFDI 3.3 Comprobante del SAT de México, utilizando el servicio gratuito ofrecido por el SAT, para el escenario...
Ejemplo de llenado de facturas utilizando el servicio gratuito ofrecido por el SAT Arrendamiento de casa habitación amueblada:
Ejemplo de llenado de facturas utilizando el servicio gratuito ofrecido por el SAT Arrendamiento de local comercial
Cuando salta el error CRP213, El campo CtaOrdenante no cumple con el patrón requerido, se refiere a que el número de cuenta no está coincidiendo...
El CFDI global 3.3 es un documento que recoge las operaciones celebradas con el público en general, deberá remitirse al SAT o al proveedor de...
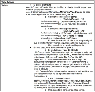
Como calcular el valor mínimo y el valor máximo calculado y obtener así los límites.
En la matriz de errores de la versión CFDI 3.3 valida con este error 33138 que :
El complemento de pagos se emite cuando se recibe el pago de una parcialidad y en los casos de pago en una exhibición si esa...
El error aparece en la matriz de errores del comprobante versión CFDI 3.3. Este mensaje de error menciona: NumRegIdTrib El atributo debe cumplir con el patrón...
El error siguiente de la matriz de errores del complemento de comercio exterior, se dispara con la validación CCE162: El atributo cce11:ComercioExterior:TotalUSD no coincide con...
El SAT define las principales funcionalidades con complemento versión 1.1, como sigue:
En ocasiones en necesario enviar promociones y muestras, pero nos encontramos con la dificultad de cómo emitir una factura con importe 0 y al mismo...
Si se sigue la guía de llenado correspondiente al complemento de comercio electrónico CFDI 3.3 se pueden ver las referencias a los catálogos, estos catálogos...
El funcionamiento de la generación de un comprobante CFDI 3.3 para facturar honorarios por servicios contables, es bastante similar al general debiéndose generar una factura...
Para realizar una anticipación se deben de seguir tres pasos en los que se emitirá un comprobante CFDI 3.3 en cada uno de ellos:
Nota: existe un nuevo esquema de cancelaciones que entró en vigor el 1 de Noviembre de 2018
El error de la matriz de errores del CFDI versión 3.3 código CFDI33177, Valida que El atributo debe cumplir con las reglas de validación definidas...
NOM223: Nomina.OtrosPagos.OtroPago.CompensacionSaldosAFavor.Año no es menor que el año en curso.
Siguiendo las definiciones que se encuentran en el xsd del comprobante CFDI 3.3, que a su vez en la cabecera incluye el siguiente xsd: http://www.sat.gob.mx/sitio_internet/cfd/tipoDatos/tdCFDI/tdCFDI.xsd...
Los impuestos locales en la versión del comprobante CFDI 3.3, deben de comunicarse por medio del uso del complemento de otros derechos e impuestos, para...
CFDI33141: La clave del campo UsoCFDI debe corresponder con el tipo de persona (fisica o moral). Clave de error procedente de la matriz de errores...
Comunicado del SAT permitiendo el uso del comprobante CFDI versión 3.2 hasta el 31 de Diciembre. Un respiro para los que todavía no han actualizado...
A continuación un ejemplo de comprobante versión 3.2 desde la página del SAT:
Ejemplo de complemento de nómina versión 1.2 dentro de un comprobante versión 3.2, se trata de un ejemplo básico. Para calcular la antigüedad puede utilizar...
Errores retornados por el SAT según su validación.
Ejemplo de complemento de pagos del SAT de México. Mas información en la página del complemento recepción de pagos
Ejemplo de comprobante 3.3 con el complemento de nómina versión 1.2:
Listado de errores del complemento de pagos. Ejemplo del complemento de pagos.
En estos momentos el SAT ya está obligando a la utilización de la versión 1.3 de la contabilidad electrónica, más información documentación, en la página...
El SAT pone a disposición del contribuyente el siguiente validador UUID, el validador de folios fiscales, le permite conocer si un comprobante ha sido reportado...
Matriz de errores del complemento de comercio exterior versión 1.1 Reglas de validación para CFDI que incluyan el complemento de Comercio Exterior 1.1, los códigos...
Página de inicio, donde empezar y localizar toda la documentación referente a la contabilidad electrónica http://omawww.sat.gob.mx/fichas_tematicas/buzon_tributario/paginas/contabilidad_electronica.aspx incluyendo el Anexo24 de la resolución miscelánea Fiscal 2015...
La Lista de Contribuyentes con Obligación o LCO, es el registro que mantiene actualizado los contribuyentes que se encuentran en la lista pueden emitir facturas. ...
Según el mensaje de error de correspondiente a la regla CRP206, en la matriz de errores V1.0 en http://omawww.sat.gob.mx/informacion_fiscal/factura_electronica/Paginas/Recepcion_de_pagos.aspx, sobre el campo Monto:
Para conocer todos los pasos y poder realizar una Validación masiva e inscripción de trabajadores en el Registro Federal de contribuyentes, descargue la Guía para...
Incapacidades TipoPercepcion 014 y TipoDeduccion 006 El problema es que queremos respetar la ley sobre la renta en referencia a las cantidades exentas, pero por...
El comprobante de sector primario o autofactura y se clasifican en función de la actividad que realiza. Productor Ganadero Arrendador Pequeño Minero Recicladores Adquirente del...
Reglas de validación para CFDI versión 3.2 y 3.3 incluidas en el complemento de Nómina 1.2 Reglas de validación para CFDI que incluyan el complemento...
Complemento Nómina 1.2 Utilizado como su propio nombre indica para nóminas. Actualmente está la transición entre la versión 1.1 y la 1.2 vigente a partir...
Ya está disponible la definición del nuevo comprobante versión 3.3, en la siguiente página se pueden encontrar todas las noticias, avisos del SAT en cuanto...
Introducción Un buen sitio para empezar es la página de inicio de la Hacienda Mexicana, el SAT, sobre la factura electrónica http://www.sat.gob.mx/informacion_fiscal/factura_electronica/Paginas/default.asp